Hello, It's Me

Sanjay Kasaudhan

I'm a student who is
passionate in

Download Resume

About Me

My Name is Sanjay Kasaudhan,I am currently pursuing M.Tech at Lovely Professional University, Phagwara, Punjab with a versatile skillset in Artificial Intelligence&Machine Learning.
Proficient in C/C++ and adept at solving 1000+ problems on platforms like LeetCode and GeeksforGeeks, Codeforces, and HackerRank.
I bring expertise in database management, operating systems, object-oriented programming, and SQL.
Additionally, I excel in developing web applications using the MERN stack.
My well-rounded skills are geared for impactful contributions to the field of computer science.
Download Resume

My Experiences

Tech stack

Open Source Contribution

Contributed to open source project. Resolve issue and implementing solution.

Link

Open Source Contribution

GirlScript Summer Of Code

Know more

Tech stack

Software Development Internship

Developed and maintained interactive web scraping. Enhance the CRUD application to store task data persistently using file I/O.

Link

Software Development Internship

Cognifyz Technologies

Know more

Tech stack

Software Engineering Virtual Internship

Crack leaked password database. Password Controls and Security Policies. I was able to crack 13 passwords from the given 19 hashcodes in the password dump file very easily.

Link

Software Engineering Virtual Internship

Goldman Sachs

Know more

Tech stack

Web Developer Internship

It was a great experience to work as an Intern. I learned alot from this Internship. Thanks Oasis Infobyte for providing me internship as a Web Developer.

Link

Web Developer Internship

Oasis Infobyte

Know more

My Skills

Technical Skills

C/C++
Python
Java
MongoDB
MySQL
DSA
HTML
CSS
React.js
JavaScript
Node Js
DevOps
Github
Netlify

Professional Skills

95%
Problem Solving
90%
Creativity
90%
Communication
95%
Teamwork

My Projects

Tech stack

Text Summarization using LLM

Text Summarization project employing Large Language Models (LLM), fine-tuning the ’facebook/bart-large-cnn’ model using AutoTokenizer and AutoModelForSeq2SeqLM with TensorFlow.

Link

Tech stack

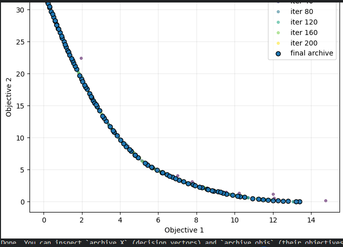
Particle Swarm Optimization for Multi-Objective Energy Optimization

This project applies Particle Swarm Optimization (PSO) to solve a multi-objective energy optimization problem — where we try to minimize two conflicting goals, such as energy cost and carbon emissions. The idea is to find a set of optimal trade-off solutions, known as the Pareto front, instead of a single best point.

Link

Tech stack

Human Activity Recognition by Smartphone

This project is related to the Machine Learning. Implemented Human Activity Recognition using smartphone data, initially analyzing a dataset with 563 features.

Link

Tech stack

Emotion Analysis Based on Text using Bert

Conducted Emotion Analysis on Text leveraging BERT Transformer architecture with TensorFlow and Python, utilizing Hugging Face Transformers library.

Link

My Services

Frontend Development

Plan, create and code internet sites and web pages with modern and artful design. with React Js, Sassy CSS.

Backend Development

Specialized in crafting robust backend solutions using Node.js, Express, and databases such as MongoDB and MySQL.

App Development

Mobile application developer with knowledge of React Native and Android Studio.

Contact Me

Let's Work Together

Creativity is thinking up new things
Innovation is doing new things
  • sanjaykasaudhan09@gmail.com
  • +91-9170580657
  • Software Engineer 2025

    Developed with by Sanjay Kasaudhan